A HETVENES ÉVEK ELEJE óta gyanakvással, s bűntudattal tekintünk a zsírra. Általában egészségtelennek, károsnak, túlsúlyunk fő okának tartjuk, ami jól érthető és még megalapozottnak is tűnik. Valószínűleg az is, ám mint oly’ sokszor, itt is gond van a mérték körül. A zsír kiátkozásával egyidejűleg megjelentek a zsírszegény, „light”, élelmiszerek is, amelyek igen gyakran bővében voltak, vannak a szénhidrátnak, sónak, s sok egyébnek, amivel a zsír élményét valamennyire pótolni lehet. Az egészséges zsírszegénység marketing üzenete így igen gyakran egy más szempontból már aggályos gyakorlatot takar.
A következő, 1957-es, a Brit Egészségügyi Minisztérium által is támogatott reklám szövege ma már igen meglepő, pedig nem is olyan régen volt, amikor megjelent:
Fiatalok… Szeretik egymást… DISZNÓZSÍRT esznek
(Lám, csupán egy kicsit nehezebb körülmények kellenek és a dolgok hamarost átértékelődnek, ahogy a háború utáni Nagy-Britanniában, s másutt, nálunk is történt. Már csak emiatt is érdemes nagyszüleinket, s szüleinket óvatosabban megítélni…)
Rehabilitálódott a mangalica zsír is, amit éppen a telítetlen zsírsavak (az olajok) kultusza küldött évtizedekre az egészségtelen ételek közé. Ma a mangalica zsírja már újra „egészséges”, ami persze ismét csak féligazság, de jól mutatja, hogy amit ma egészségesnek tartunk, az bizony holnap már könnyen válhat mellőzött étellé, hogy aztán valamennyi idő elteltével újra része legyen táplálkozásunknak. Az állati zsírok közt akadnak olyanok is, amelyek napjainkban csekélyebb figyelmet kapnak, mint akár a túldicsért mangalica. Ilyen a libazsír és a kacsazsír is.
A liba
A liba története legalább négyezer-ötszáz évre nyúlik vissza, amikor is az egyiptomiak már tenyésztették. Legelső írásos emléke i.e 700 körül keletkezhetett (ekkorra teszik az Odüsszeia keletkezését), amikor egy Homérosz nevű görög férfiú megírta az Odüsszeia című művet. (Hogy valóban ő írta-e, vagy mégsem, az a liba oldaláról nézve közömbös, ezért hagyhatjuk is.) Idézet Homérosz Odüsszeia című művéből:
„Húsz ludam él házamban, a búzát itt eszik egyre,
vízbekeverten; örül, ha tekintek rájuk, a szívem;
horgascsőrü hatalmas sas jött most a hegyekből,
és megfogta nyakát mindnek s meg is ölte: hevertek
itt a teremben, a sas meg az isteni légbe röpült fel.
Én meg fölsírtam s jajgattam az álom ölében,
és az akhájai széphaju nők köribém seregeltek,
míg sírtam hevesen, hogy a sas lecsapott ludaimra.
(Devecseri Gábor fordítása)
A Római Birodalomban a liba éltében is, holtában is megbecsült madár maradt. (Apícius receptjéről már írtam korábban.) A Birodalom bukása (476) után a liba szó szerint is, és átvitt értelemben is a paraszti konyha szerves része maradt A sertéshez hasonlóan jó választás, mivel tartása olcsónak számít, s gyakorlatilag minden része felhasználható, ami a mi oldalunkról nézve is hasznos. (A következő videón vadludak láthatók.)
Nos, végül is nem akarok „liba-históriát” írni, bár igazán érdekes lenne, ezért térjünk vissza a liba zsírszövetéhez, s vele a libazsírhoz.
A zsírsavakról – általában
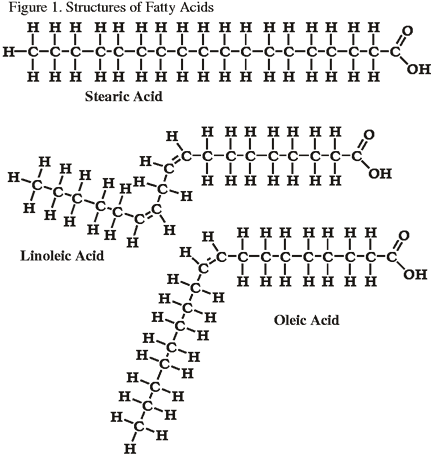
Jól megtanultuk az olyan kifejezéseket, mint „telített” és „telítetlen” zsírsavak, sőt „transz-zsírsavak”, azonban joggal feltételezhető, hogy ezeknek a fogalmaknak a tartalmával valójában csak kevesek vannak tisztában. Érdemes összevetnünk a különféle állati eredetű zsírokat annak megítélésére, hogy hol is helyezkednek el a zsírok „egészségességi” rangsorában. A legáltalánosabban használt értékelési rendszerünkben a telített-, telítetlen- és többszörösen telítetlen zsírsav összetételt érdemes megnézni. A tudomány állítása szerint a telítetlen és többszörösen telítetlen cisz zsírsavak a jó zsírsavak.
A telített zsírsavak szénatomjai között csupán egyszeres kötéseket (-C-C-) találunk, ami a zsírsavmolekulát „merevvé teszi”. Ez a „folyadékként” jellemezhető sejtmembránba való beépüléskor hátrányos. Ide tartozó telítetlen zsírsavak például a sztearinsav (az ábrán). A telített zsírsavak növelik a keringési megbetegedések kockázatát és egyéb bajokat is okoznak. Ezek a zsírok szobahőmérsékleten szilárdak, mint a disznózsír is. A telítetlen zsírsavakban a szénatomok között egy, vagy több kettős kötés (-C=C-) is van. Ilyen zsírsavak az olajsav és a linolsav (az ábrán), amelyben két telítetlen kötést is találunk, amelytől a molekula kevésbé merev. Az egyszeres telítetlen zsírsavak csökkentik a „rossz” koleszterin szintjét. Szobahőmérsékleten folyékonyak.
Lényeges zsírsav alcsoport még az esszenciális zsírsavak családja. Ebben a családban a táplálkozás szempontjából különösen az imént már említett linolsav és az alfa-linolénsav érdemel figyelmet, mivel ezeket a szervezet nem képes előállítani, tehát külső forrásból kell biztosítani. (Hozzájuk tartozóak az omega-3-zsírsavak is.). A transz-zsírsavak a legrosszabbak. Más helyütt írom, de itt is érvényes, hogy az elfogyasztott zsírok, olajok mennyisége, legyen az sok, vagy kevés, valójában nincs összefüggésben a betegségekkel és a járványként jelentkező elhízással. Ami igazán számít, az a zsírok fajtája, összetétele.
Az libazsírnak mindenek felett való jóságáról
A telített zsírsavak átlagos mennyisége (/100g) vajban 54 g , sertészsírban 41 g, libazsírban 32,7 g, kacsazsírban 27 g. Az egyszeresen és többszörösen telítetlen zsírsavak átlagos mennyisége (/100g) vajban 22,5 g, sertészsírban 53,5 g, libazsírban 66 g, kacsazsírban 68 g.
Mindebből egyértelműen látszik, hogy a liba és kacsazsírok zsírsav összetétele jóval kedvezőbb, mint a sertészsír, vagy a vaj zsírsav összetétele. A liba és kacsazsír ezzel a teljesítménnyel már az olajokhoz közelít a telítetlen zsírsav összetételét nézve. A kacsazsír telítetlen zsírsavtartalma lényegében a széles körben használt gyapotmag olajjal megegyező.
A kacsazsír füstölési pontja (ahol már számottevően oxidálódni kezd) 190°C körül van. A főzésre is igen gyakran (ám sokak véleménye szerint szentségtörően**) használt extra szűz olíva olajok füstölési pontja ugyancsak 190°C körül van.
Az extra szűz olíva helyett, különösen sütésre, célszerűbb és napjaink említett véleményével inkább szinkronban lévő a tisztított olíva olaj (vagy más olajok) használata, már csak azért is, mivel a tisztított olíva olajok füstölési pontja 210°C körül van. Az olajok füstölési pontjára vonatkozóan itt találhattok adatokat, azonban ettől akár jelentősen eltérő adatokkal is lehet találkozni.
**Megjegyzés: Az extra szűz olíva olajokat sokan kizárólag csak salátákhoz tartják alkalmasnak és a vélemény képviselői között akadnak, akik dilettánsnak tartják azokat, akik esetleg még főznek is vele. Nos, akad ebben praktikus igazság, amit a gyártók is megerősítenek, hiszen a címkéken többnyire feltüntetik, hogy melyik olajat mire tartják inkább alkalmasnak. Mindemellett a főzésre „hivatalosan” ajánlottak között között is felbukkannak kevert (extra szűz+finomított) olajok, ami gyengíti azt az állítást, hogy extra szűz olíva olajjal csak a hozzá nem értők főznek. A szélsőséges véleményt tovább gyengíti, hogy évezredeken keresztül lényegében nem is állt rendelkezésre más olíva olaj, csakis „extra szűz” és az otthoni használatra készített olajok ma is csak azok.
A libazsír gasztronómiája
A legjobb sült burgonya minden bizonnyal libazsírral készül (némi rozmaringgal bolondítva). A konfit ugyan sok mindenben elvégezhető művelet, ám a liba-, s kacsazsír mindent képes felülmúlni. Egy jó cassoulet, még akkor is, ha nem libával, kacsával készítjük, hanem sertéssel, vagy sertéskolbásszal, bizony ugyanígy igényli a libazsírt. A sólet esetében nem is kétséges a használata, de ha egy jó babfőzelékre vágyunk, akkor is helye van a konyhában. Ha levesünkön nem úszkálnak sárgálló zsírcseppek, ahogy azt megszoktuk, s szeretjük, fél teáskanálnyi libazsírral megoldhatjuk a helyzetet.
A libatepertő lilahagymával önálló fogássá vált. A libazsír, kacsazsír még csak bátortalan próbálkozásként fordul elő az éttermeinkben, pedig vajtól eltérő, egészen más stílusának helye van az igényes éttermekben is. (A képen bőrös libahájat olvasztok, s két kacsacomb is konfitálódik a lábosban.)



Trackback/Pingback